NEWS CENTER
聚碳酸酯(英文簡稱PC)是分子鏈中含有碳酸酯基的高分子聚合物,根據酯基的結構可分為脂肪族、芳香族、脂肪族-芳香族等多種類型。其中由于脂肪族和脂肪族-芳香族聚碳酸酯的機械性能較低,從而限制了其在工程塑料方面的應用。目前僅有芳香族聚碳酸酯獲得了工業化生產。由于聚碳酸酯結構上的特殊性,已成為五大工程塑料中增長速度最快的通用工程塑料。
聚碳酸酯的合成
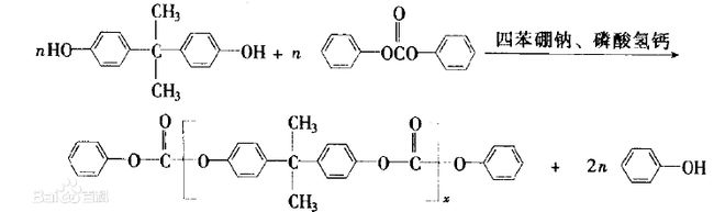
聚碳酸酯是一種強韌的熱塑性樹脂,其名稱來源于其內部的-CO3基團。可由雙酚A和氧氯化碳(COCl2)合成。現較多使用的方法為熔融酯交換法即雙酚A和碳酸二苯酯通過酯交換和縮聚反應合成。
雙酚A和碳酸二苯酯反應原理:

聚碳酸的性能
化學性質
聚碳酸酯(PC)是碳酸的聚酯類,碳酸本身并不穩定,但其衍生物(如光氣,尿素,碳酸鹽,碳酸酯)都有一定穩定性。
按醇結構的不同,可將聚碳酸酯分成脂族和芳族兩類。
脂族聚碳酸酯。如聚亞乙基碳酸酯,聚三亞甲基碳酸酯及其共聚物,熔點和玻璃化溫度低,強度差,不能用作結構材料;但利用其生物相容性和生物可降解的特性,可在藥物緩釋放載體,手術縫合線,骨骼支撐材料等方面獲得應用。
聚碳酸酯耐弱酸,耐弱堿,耐中性油。聚碳酸酯不耐紫外光,不耐強堿。
PC是一種線型碳酸聚酯,分子中碳酸基團與另一些基團交替排列,這些基團可以是芳香族,可以是脂肪族,也可兩者皆有。雙酚A型PC是最重要的工業產品。
PC是幾乎無色的玻璃態的無定形聚合物,有很好的光學性。PC高分子量樹脂有很高的韌性,懸臂梁缺口沖擊強度為600~900J/m,未填充牌號的熱變形溫度大約為130°C ,玻璃纖維增強后可使這個數值增加10°C。PC的彎曲模量可達2400MPa以上,樹脂可加工制成大的剛性制品。低于100°C 時,在負載下的蠕變率很低。PC耐水解性差,不能用于重復經受高壓蒸汽的制品。
PC主要性能缺陷是耐水解穩定性不夠高,對缺口敏感,耐有機化學品性,耐刮痕性較差,長期暴露于紫外線中會發黃。和其他樹脂一樣,PC容易受某些有機溶劑的侵蝕。
PC材料具有阻燃性。抗氧化性。
物理性質
密度:1.18-1.22 g/cm^3
線膨脹率:3.8×10^-5 cm/°C
熱變形溫度:135°C 低溫-45°C
聚碳酸酯無色透明,耐熱,抗沖擊,阻燃BI級,在普通使用溫度內都有良好的機械性能。同性能接近聚甲基丙烯酸甲酯相比,聚碳酸酯的耐沖擊性能好,折射率高,加工性能好,不需要添加劑就具有UL94 V-2級阻燃性能。但是聚甲基丙烯酸甲酯相對聚碳酸酯價格較低,并可通過本體聚合的方法生產大型的器件。
材料的耐磨性是相對的,把ABS材料與PC材料做比較的話,那就是PC材料耐磨性比較好。但是相對于大部分的塑膠材料來看,聚碳酸酯的耐磨性是比較差的,處于中下水平,所以一些用于易磨損用途的聚碳酸酯器件需要對表面進行特殊處理。
聚碳酸酯的分類
防靜電PC、導電PC、加纖防火PC、抗紫外線耐候PC、食品級PC、抗化學性PC。
聚碳酸酯的應用
PC工程塑料的三大應用領域是玻璃裝配業、汽車工業和電子、電器工業,其次還有工業機械零件、光盤、包裝、計算機等辦公室設備、醫療及保健、薄膜、休閑和防護器材等。PC可用作門窗玻璃,PC層壓板廣泛用于銀行、使館、拘留所和公共場所的防護窗,用于飛機艙罩,照明設備、工業安全檔板和防彈玻璃。
PC板可做各種標牌,如汽油泵表盤、汽車儀表板、貨棧及露天商業標牌、點式滑動指示器, PC樹脂用于汽車照明系統,儀表盤系統和內裝飾系統,用作前燈罩,帶加強筋汽車前后檔板,反光鏡框,門框套、操作桿護套、阻流板、PC被應用用作接線盒、插座、插頭及套管、墊片、電視轉換裝置,電話線路支架下通訊電纜的連接件,電閘盒、電話總機、配電盤元件,繼電器外殼。PC可做低載荷零件,用于家用電器馬達、真空吸塵器,洗頭器、咖啡機、烤面包機、動力工具的手柄,各種齒輪、蝸輪、軸套、導規、冰箱內擱架。PC是光盤儲存介質的理想材料。
PC瓶(容器)透明、重量輕、抗沖性好,耐一定的高溫和腐蝕溶液洗滌,作為可回收利用瓶(容器)。PC及PC合金可做計算機架,外殼及輔機,打印機零件。改性PC耐高能輻射殺菌,耐蒸煮和烘烤消毒,可用于采血標本器具、血液充氧器、外科手術器械、腎透析器等、PC可做頭盔和安全帽、防護面罩、墨鏡和運動護眼罩。PC薄膜廣泛用于印刷圖表、醫藥包裝、膜式換向器。
聚碳酸酯的應用開發是向高復合、高功能、專用化、系列化方向發展,已推出了光盤、汽車、辦公設備、箱體、包裝、醫藥、照明、薄膜等多種產品各自專用的品級牌號。
建材行業
聚碳酸酯板材具有良好的透光性,抗沖擊性,耐紫外線輻射及其制品的尺寸穩定性和良好的成型加工性能,使其比建筑業傳統使用的無機玻璃具有明顯的技術性能優勢。中國建有聚碳酸酯建材中空板生產線20余條,年需用聚碳酸酯7萬噸左右,到2005年達到14萬噸。
汽車制造業
聚碳酸酯具有良好的抗沖擊、抗熱畸變性能,而且耐候性好、硬度高,因此適用于生產轎車和輕型卡車的各種零部件,其主要集中在照明系統、儀表板、加熱板、除霜器及聚碳酸酯合金制的保險杠等。
根據發達數據,聚碳酸酯在電子電氣、汽車制造業中使用比例在40%~50%,中國在該領域的使用比例只占10%左右,電子電氣和汽車制造業是中國迅速發展的支柱產業,未來這些領域對聚碳酸酯的需求量將是巨大的。中國汽車總量多,需求量大,因而聚碳酸酯在這一領域的應用是極有拓展潛力的。
醫療器械
由于聚碳酸酯制品可經受蒸汽、清洗劑、加熱和大劑量輻射消毒,且不發生變黃和物理性能下降,因而被廣泛應用于人工腎血液透析設備和其他需要在透明、直觀條件下操作并需反復消毒的醫療設備中。如生產高壓注射器、外科手術面罩、一次性牙科用具、血液分離器等。
航空航天
隨著航空、航天技術的迅速發展,對飛9機和航天器中各部件的要求不斷提高,使得PC在該領域的應用也日趨增加。據統計,僅一架波音型飛機上所用聚碳酸酯部件就達2500個,單機耗用聚碳酸酯約2噸。而在宇宙飛船上則采用了數百個不同構型并由玻璃纖維增強的聚碳酸酯部件及宇航員的防護用品等。
包裝領域
在包裝領域出現的新增長點是可重復消毒和使用的各種型號的儲水瓶。由于聚碳酸酯制品具有質量輕,抗沖擊和透明性好,用熱水和腐蝕性溶液洗滌處理時不變形且保持透明的優點,一些領域PC瓶已完全取代玻璃瓶。據預測,隨著人們對飲用水質量重視程度的不斷提高,聚碳酸酯在這方面的用量增長速度將保持在10%以上,預計到2005年將達到6萬噸。
電子行業
由于聚碳酸酯在較寬的溫、濕度范圍內具有良好而恒定的電絕緣性,是優良的絕緣材料。同時,其良好的難燃性和尺寸穩定性,使其在電子電器行業形成了廣闊的應用領域。
聚碳酸酯樹脂主要用于生產各種食品加工機械,電動工具外殼、機體、支架、冰箱冷凍室抽屜和真空吸塵器零件等。而且對于零件精度要求較高的計算機、視頻錄像機和彩色電視機中的重要零部件方面,聚碳酸酯材料也顯示出了極高的使用價值。
光學透鏡
聚碳酸酯以其獨特的高透光率、高折射率、高抗沖性、尺寸穩定性及易加工成型等特點,在該領域占有極其重要的位置。采用光學級聚碳酸配制作的光學透鏡不僅可用于照相機、顯微鏡、望遠鏡及光學測試儀器等,還可用于電影投影機透鏡、復印機透鏡、紅外自動調焦投影儀透鏡、激光束打印機透鏡,以及各種棱鏡、多面反射鏡等諸多辦公設備和家電領域,其應用市場極為廣闊。
聚碳酸酯在光學透鏡方面的另一重要應用領域便是作為兒童眼鏡、太陽鏡和安全鏡和成人眼鏡的鏡片材料。世界眼鏡業聚碳酸酯消費量年均增長率一直保持在20%以上,顯示出極大的市場活力。
光盤制造業
隨著信息產業的崛起,由光學級聚碳酸酯制成的光盤作為新一代音像信息存儲介質,正在以極快的速度迅猛發展。聚碳酸酯以其優良的性能特點因而成為世界光盤制造業的主要原料。世界光盤制造業所耗聚碳酸酯量已超過聚碳酸酯整體消費量的20%,其年均增長速度超過10%。中國光盤產量增長迅速,據新聞出版總署公布的數字,2002年全國共有光盤生產線748條,年耗光學級聚碳酸酯約8萬噸,且全部進口。因而聚碳酸酯在光盤制造領域的應用前景是極為廣闊的。